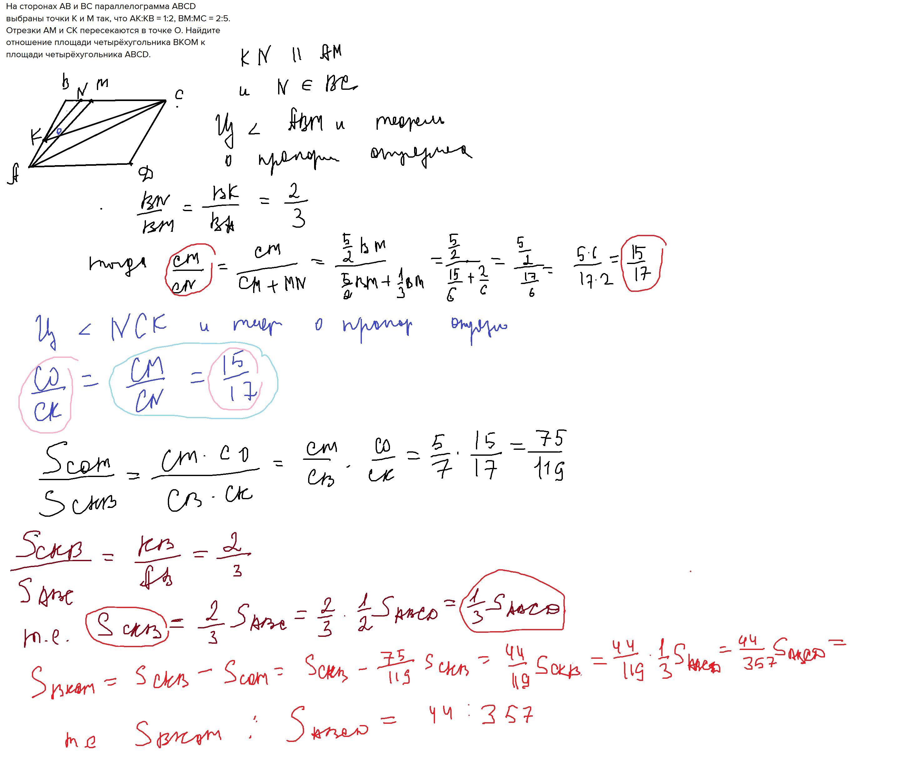
На сторонах AB и BC параллелограмма ABCD выбраны точки K и M так, что AK:KB = 1:2, BM:MC = 2:5. Отрезки AM и CK пересекаются в точке O. Найдите отношение площади четырёхугольника BKOM к площади четырёхугольника ABCD.
Ответы
Ответ дал:
0
............................................................
Приложения:

Ответ дал:
0
Ответ:На сторонах AB и BC параллелограмма ABCD выбраны точки K и M так, что AK:KB = 1:2
Объяснение:
Приложения:

Вас заинтересует
2 года назад
3 года назад
3 года назад
8 лет назад
8 лет назад