• Предмет: Алгебра
  • Автор: egorovalizachif
  • Вопрос задан 8 лет назад

ПОМОГИТЕ ПОЖАЛУЙСТА

Приложения:

Ответы

Ответ дал: solving05
0

Ответ:

Объяснение:

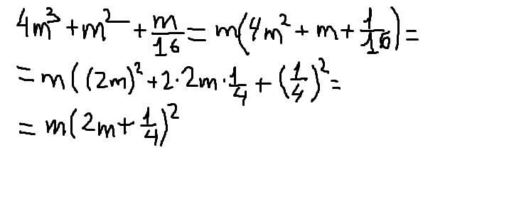
Решение в приложении

Приложения:
Вас заинтересует