Ответы
Ответ дал:
0
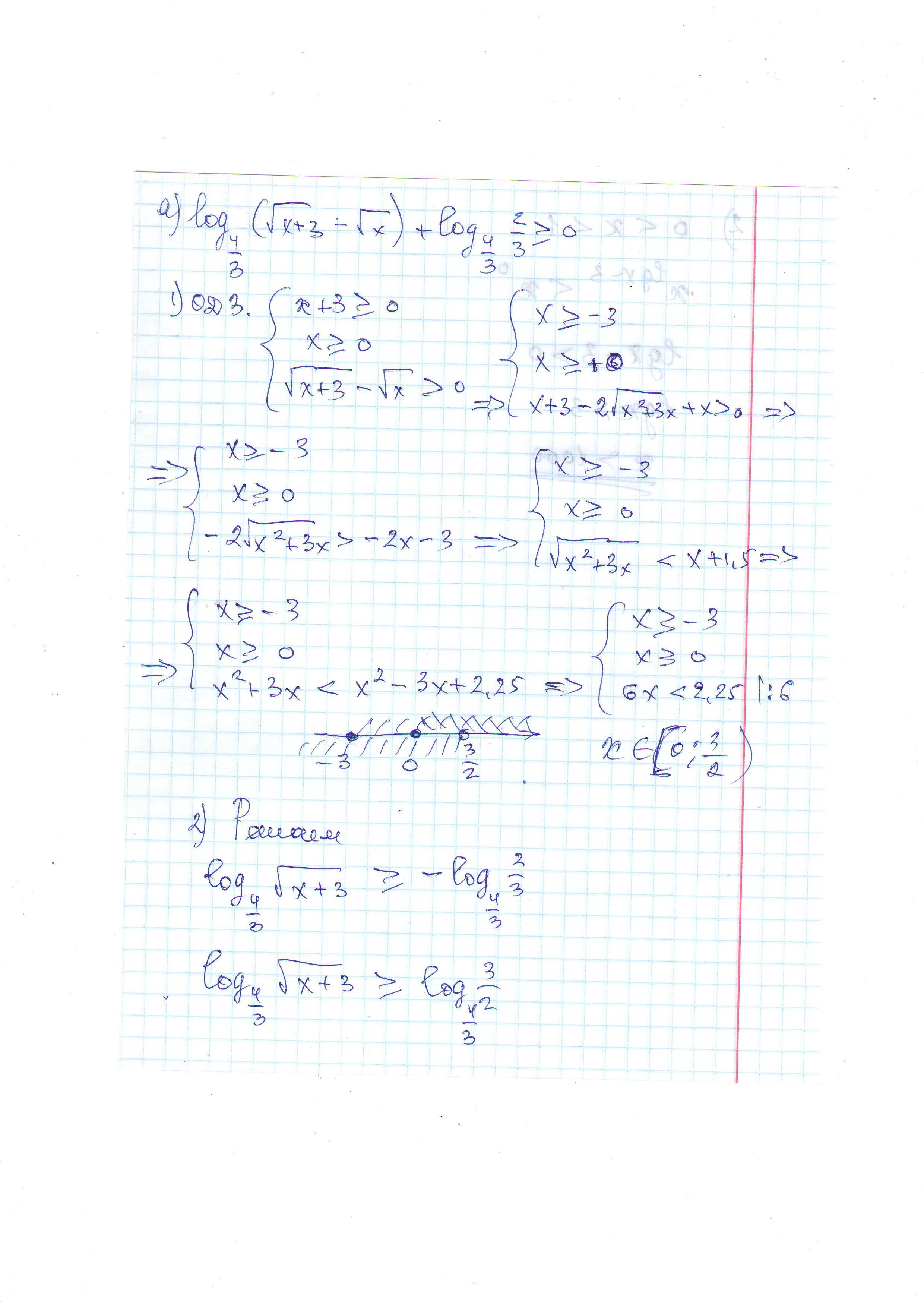
смотри во вложениях. Вроде, получилось...
Приложения:



Ответ дал:
0
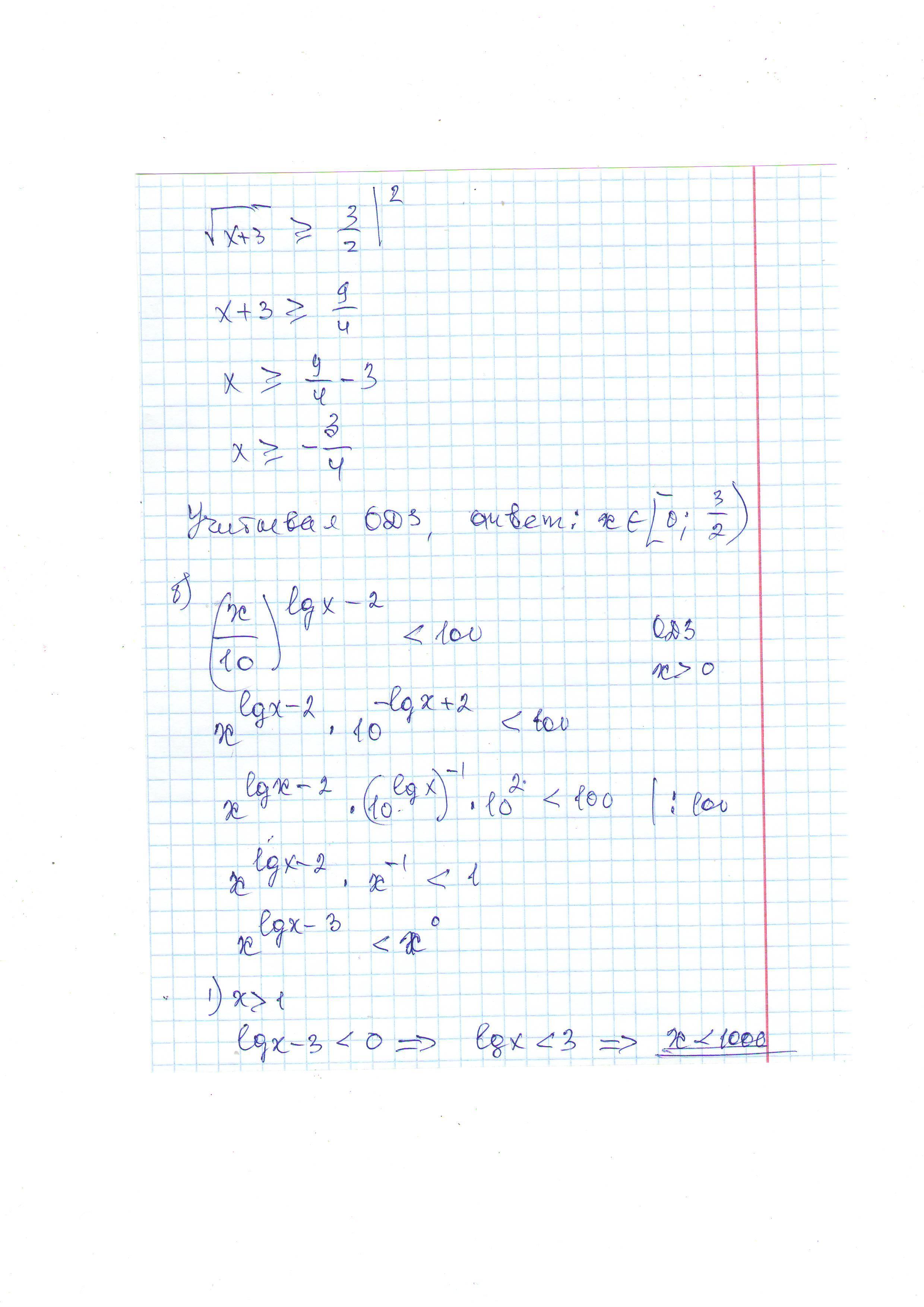
во 2 тоже ошибка, х от 1,исключая, до 1000,исключая.
Ответ дал:
0
решение записано в виде неравенства.
Ответ дал:
0
во 2-м примере рассмотрены 2 случая: когда функция возрастающая и когда убывающая. В зависимости от основания "х".
Ответ дал:
0
а если во 2 пролагарифмировать обе части неравенства
Ответ дал:
0
во 2-м надо потенцировать...
Вас заинтересует
2 года назад
3 года назад
3 года назад
8 лет назад
8 лет назад
9 лет назад
9 лет назад