Ответы
Ответ дал:
0
Ответ:
Объяснение:
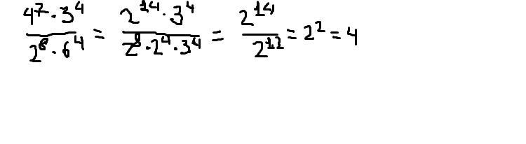
решение в приложении
Приложения:

Ответ дал:
0
ответ: 4
Приложения:

Вас заинтересует
2 года назад
3 года назад
3 года назад
8 лет назад