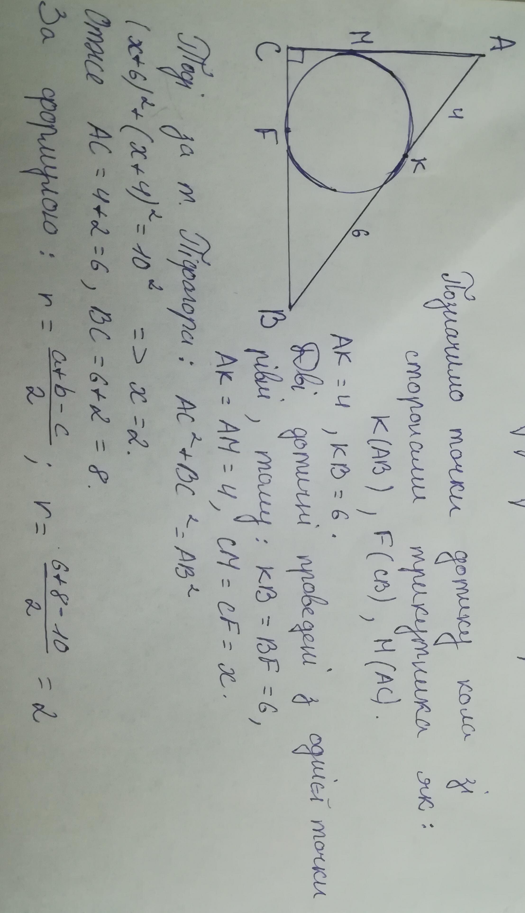
вписане коло прямокутного трикутника доторкається до гіпотенузи AB у точці K знайдіть радіус вписаного кола якщо AK=4 BK=6
Ответы
Ответ дал:
0
................................
Приложения:

Ответ дал:
0
спасибоооо
Ответ дал:
0
Ответ:
r=2 см
Объяснение:
Точка доторку з гіпотенузою AB є точка K(АК=4 см,ВК=6 см).Проводимо від центру кола радіуси до точок доторку з катетом АС-точка М,з катетом СВ-точка N .
Відрізки ,які виходять з одного кута до точока доторку рівні.Тому:
АК=АМ=4 см,а ВК=ВN=6 см.ОК==ОN=r ОN перпендикулярна СВ,
ОМ перпендикулярна АС,тоді МСNО-квадрат,де СN=МС=r
АС=r+4,СВ=r+6,AB=АК+ВК=4+6=10 см.За теоремою Піфагора
AB²=АС²+СВ²,10²=(r+4)²+(r+6)²
100=r²+8r+16+r²+12r+36
2r²+20r-100+52=0
2r²+20r-48=0 ∛:2
r²+10r-24=0
За теоремою Вієта
r1+r2= -10 r1= -12
r1*r2= -24 r2=2 Від'ємне значення не підходить,тому радіус дорівнює 2см
Приложения:

Ответ дал:
0
спасибо а можешь ище на кое что ответить??
Вас заинтересует
3 года назад
8 лет назад
9 лет назад