Ответы
Ответ дал:
0
Ответ:
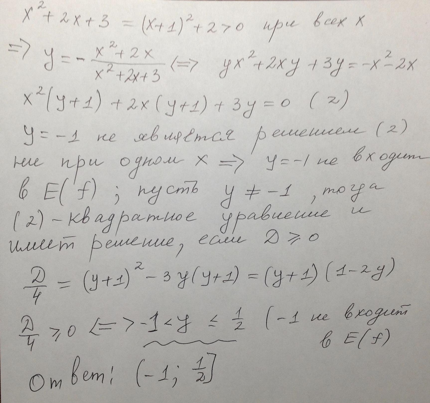
(-1 ; 0,5]
Пошаговое объяснение:
Идея простая : перейти к равносильному уравнению и записать его как квадратное относительно х , тогда y становится параметром , находим все значения y , при которых полученное уравнение имеет решение
Приложения:



Ответ дал:
0
ооо не знала, я обычно пользуюсь этим самым "скучным" способом. как раз сейчас не могла найти производную этой функции
Ответ дал:
0
а зачем стрелять из пушек по таким воробьям если есть решение доступное восьмикласснику , то что верное гарантирую
Ответ дал:
0
решил дополнить картинкой , но график решением не является
Ответ дал:
0
спасибо
Ответ дал:
0
придумал еще одно решение , сейчас напишу
Вас заинтересует
2 года назад
3 года назад
3 года назад
8 лет назад
8 лет назад
9 лет назад