• Предмет: Математика
  • Автор: Ca1cifer
  • Вопрос задан 8 лет назад

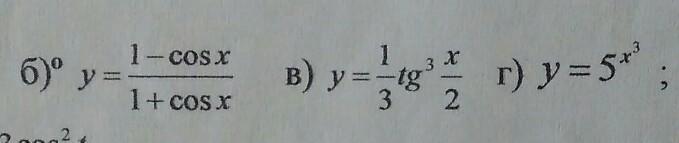
Производная функции. Помогите пожалуйста хоть 1 пример, поэтапно

Приложения:

Ответы

Ответ дал: bena20192
0

Ответ:

Пошаговое объяснение:

Приложения:
Вас заинтересует