Ответы
Ответ дал:
0
Ответ:
Пошаговое объяснение:
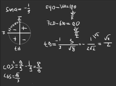
вот значение только перед ним минус я забыл написать ты главное не забудь вот все решение
Приложения:

Ответ дал:
0
это тангенс 45градусов и по идеи он равен 1
Ответ дал:
0
хотя лучше напиши что на фото
Вас заинтересует
2 года назад
3 года назад
8 лет назад