Ответы
Ответ дал:
0
Ответ:
Пошаговое объяснение:
Приложения:

Ответ дал:
0
Ответ:
Пошаговое объяснение:
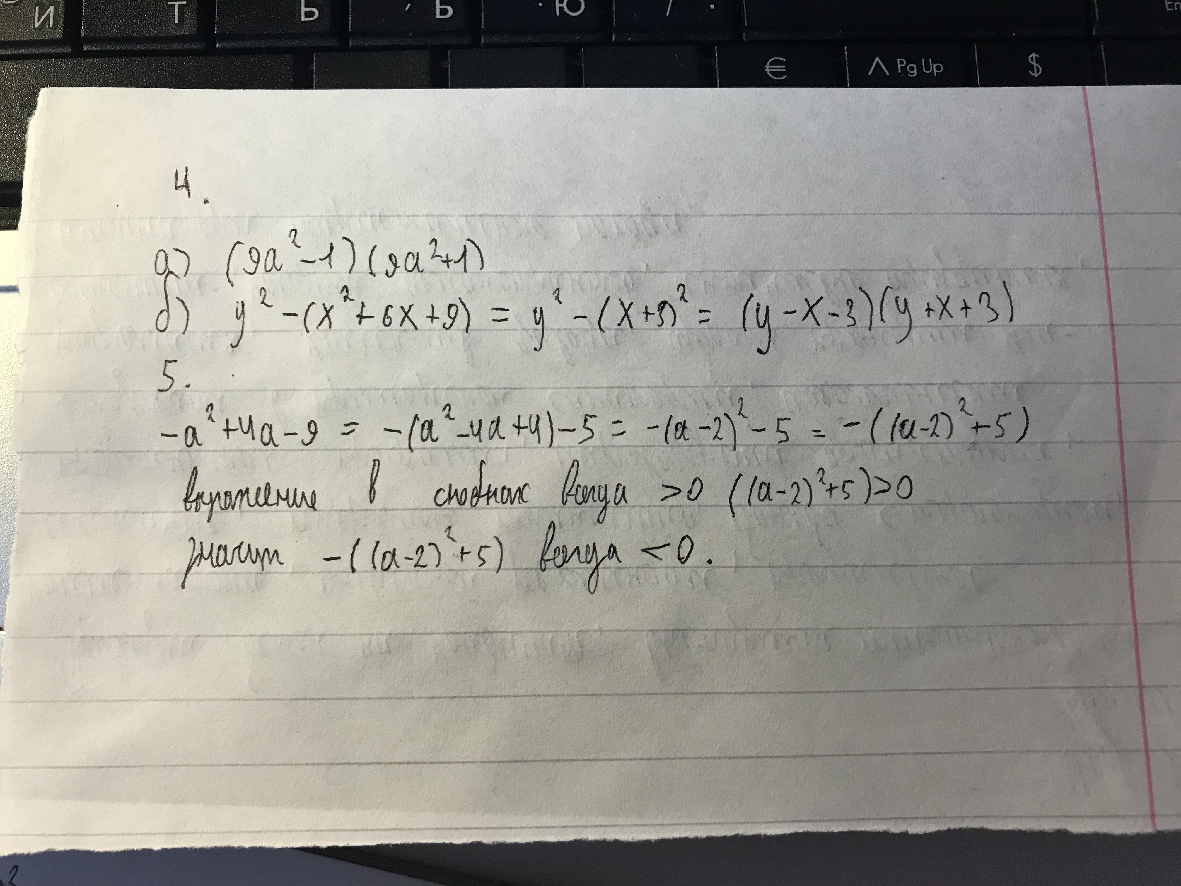
4а) =(9a^2-1)(9a^2+1), b) =y^2-(x^2+6x+9)=y^2-(x+3)^2=(y-x-3)(y+x+3)
5) -a^2+4a-9<0, D=16-36=-20<0, корней нет, значит нет точек пересечения с осью ОХ, ветви пораболы направлены вниз, порабола лежит ниже оси ОХ и принимает только отриц-е значения
Приложения:

Вас заинтересует
2 года назад
2 года назад
8 лет назад
8 лет назад
9 лет назад