Ответы
Ответ дал:
0
= решение = решение = решение = решение = решение =
Приложения:


Ответ дал:
0
Ответ:
Пошаговое объяснение:
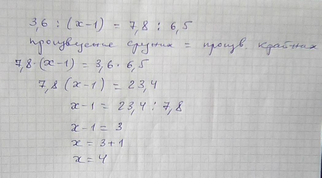
a) 3,6/(x-1)=7,8/6,5
3,6*6,5=7,8*(x-1)
23,4=7,8x-7,8
7,8x=31,2 |÷7,8
x=4.
Ответ: х=4.
б) x:(6/7)=1¹/₆:3¹/₂
x/(6/7)=(7/6)/(7/2)
x=(6/7)*(7/6)/(7/2)
x=2/7.
Ответ: x=2/7.
Приложения:


Вас заинтересует
2 года назад
2 года назад
3 года назад
3 года назад
8 лет назад
9 лет назад