• Предмет: Математика
  • Автор: Аноним
  • Вопрос задан 8 лет назад

Ученикам 6 класса ВОПРОС

Приложения:

Ответы

Ответ дал: ZLOYTIGROVSKIY
0

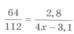
 frac{64}{112}  =  frac{2.8}{4x - 3.1}  \  \ 64 times (4x - 3.1) = 2.8 times 112 \  \ 256x - 198.4 = 313.6 \  \ 256x = 313.6 + 198.4 \  \ 256x = 512 \  \ x = 512 div 256 \  \ x = 2

~•~•~•ZLOY_TIGROVSKIY~•~•~•

Ответ дал: Аноним
0
Идеальный ответ
Ответ дал: ZLOYTIGROVSKIY
0
Благодарю
Ответ дал: dashikmath
0

4 14

— = —

7 5

—————

4x-31/10

4(40x-31)=196

x=2

Вас заинтересует