!!!СРОЧНО!!!
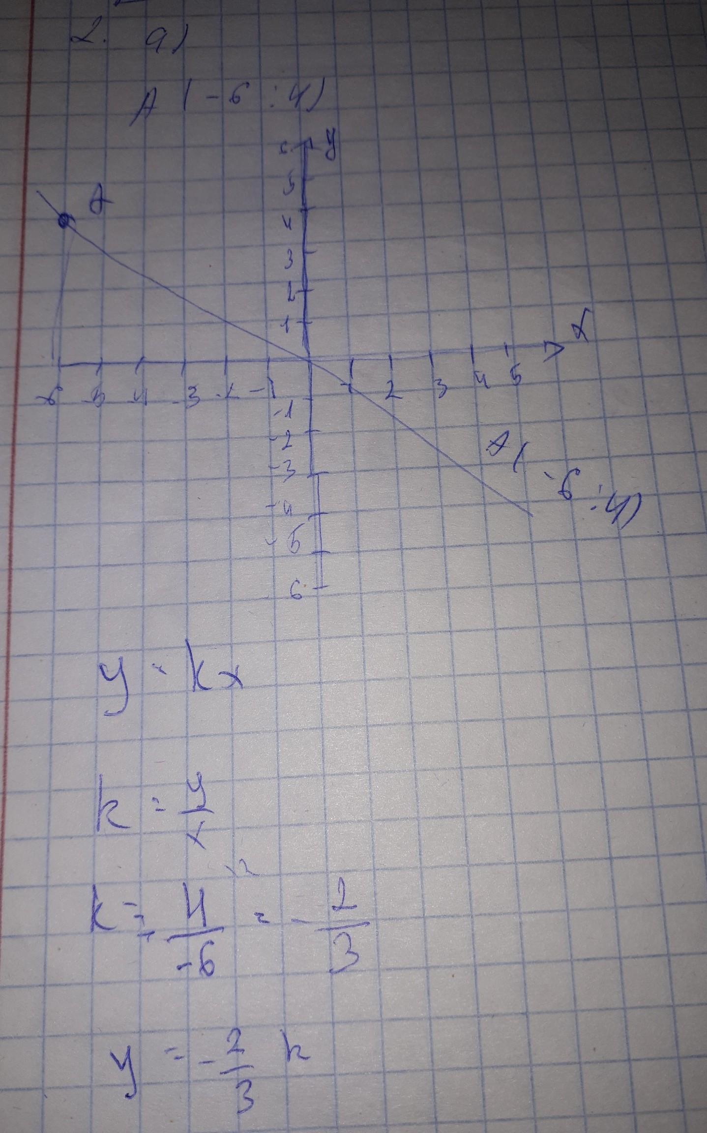
3. а) Постройте график прямой пропорциональности, проходящий через точку А(–6; 4).
b) По графику запишите формулу прямой пропорциональности.
С фото пж
Ответы
Ответ дал:
0
вроде как-то так !!!!!!
Приложения:

Вас заинтересует
2 года назад
3 года назад
8 лет назад
8 лет назад
9 лет назад
9 лет назад