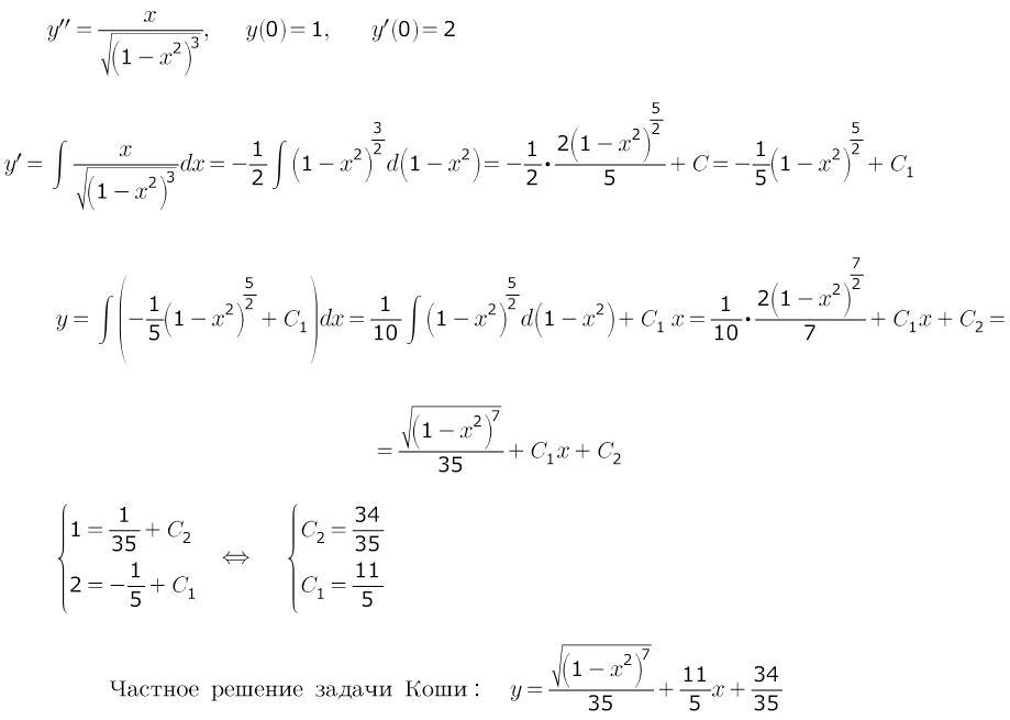
Даны дифференциальные
уравнения второго порядка, допускающие понижение порядка. Найти
частное решение, удовлетворяющее указанным начальным условиям.
Приложения:

Ответы
Ответ дал:
0
Ответ:
Пошаговое объяснение:
Для начала дважды почленно проинтегрировали, затем нашли общее решение данного диф. уравнения. И напоследок подставляем начальные условия - получили частное решение
Приложения:

Вас заинтересует
2 года назад
2 года назад
3 года назад
3 года назад
8 лет назад
8 лет назад
9 лет назад