• Предмет: Математика
  • Автор: germiona1790
  • Вопрос задан 8 лет назад

Срочно, помогите пожалуйста, нужно подробное объяснение и рисунок к нему :с
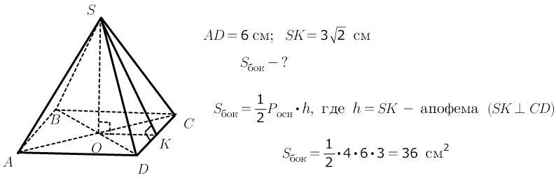
В правильной четырёхугольной пирамиде со стороной основания 6см, проведена апофема 3 корня из 2 см. Найдите боковую поверхность пирамиды. ​

Ответы

Ответ дал: Correlation
0

Ответ: 36 см².

Пошаговое объяснение:

Площадь боковой поверхности пирамиды равна половине периметра основы на апофему, исходя из этого нужно подставить данные из условия.

Приложения:
Вас заинтересует