Ответы
Ответ дал:
0
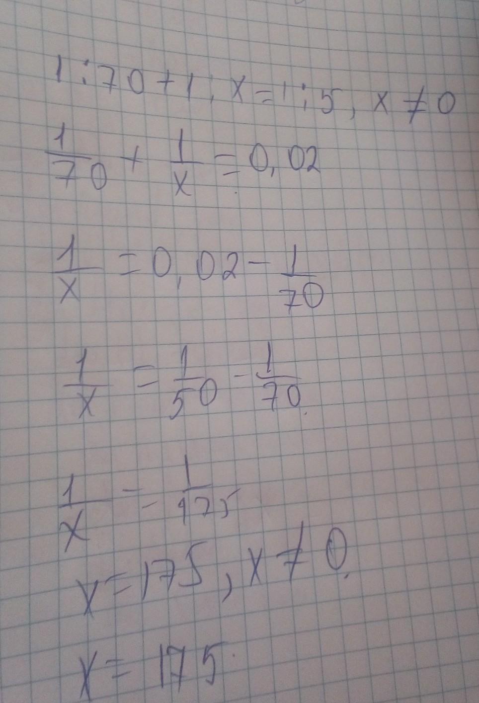
Ответ на фото
Удачи)))))))
Приложения:

Ответ дал:
0
В первой строке в правой части уравнения потерян нуль.
Ответ дал:
0
Да Вам что нужно.Дайте мне дописать
Вас заинтересует
2 года назад
2 года назад
3 года назад
3 года назад
8 лет назад