• Предмет: Алгебра
  • Автор: juliatorn4
  • Вопрос задан 8 лет назад

Помогите решить уравнение пожалуйста.
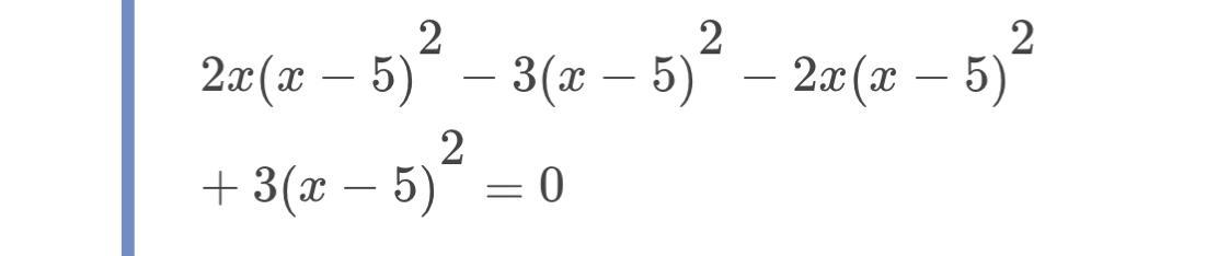
(x-5)²(2x-3)=(2x-3)(x-5)²

Ответы

Ответ дал: agatha28
0

Дык любое Х

Переносим с минусом в левую часть

И ноль будет

Ответ дал: juliatorn4
0
Я в алгебре ноль. Решение необходимо.
Ответ дал: agatha28
0
Так блин, там одинаковые множители. Они равны, тут видно. Значит, Х любое
Ответ дал: molo4ka
0

=0 будет равно 0 Там вынести за равно и убрать

Приложения:
Ответ дал: juliatorn4
0
Где ты решение откопал? Что за приложение, скажи если не трудно
Ответ дал: molo4ka
0
я решил
Вас заинтересует