Ответы
Ответ дал:
0
Решение во вложении
Приложения:

Ответ дал:
0
Спасибо
Ответ дал:
0
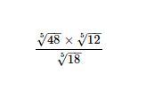
= ⁵√576 / ⁵√18 = ⁵√32=2
Удачи))
Приложения:

Ответ дал:
0
Спасибо))
Ответ дал:
0
Не за что)
Вас заинтересует
2 года назад
2 года назад
3 года назад
3 года назад
8 лет назад