ОЧЕНЬ СРОЧНО НАДО!!!!!!!!!!!
Решите пожалуйста!!!!!!!
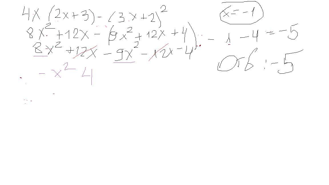
Найдите значение выражения 4х(2х+3)-(3х+2)^2 при х=-1
Ответы
Ответ дал:
0
Ответ:
Пошаговое объяснение:
Приложения:

Вас заинтересует
2 года назад
2 года назад
3 года назад
3 года назад
8 лет назад
9 лет назад