• Предмет: Математика
  • Автор: pratakol21
  • Вопрос задан 8 лет назад

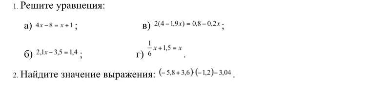
Срочно помогите ! В школу через 10 минут!!! Расписать подробно!!!

Приложения:

Ответы

Ответ дал: bryadovasg
0

ответ на фото....................

Приложения:
Вас заинтересует