Помогите плз даю 15б
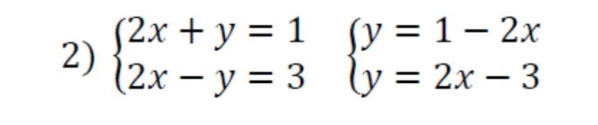
Решить систему 2 способами 1сп способ сложения 2сп способ подстановки
Приложения:

Ответы
Ответ дал:
0
Решение во вложенном файле.
Приложения:

Вас заинтересует
2 года назад
2 года назад
3 года назад
3 года назад
8 лет назад
9 лет назад