Ответы
Ответ дал:
0
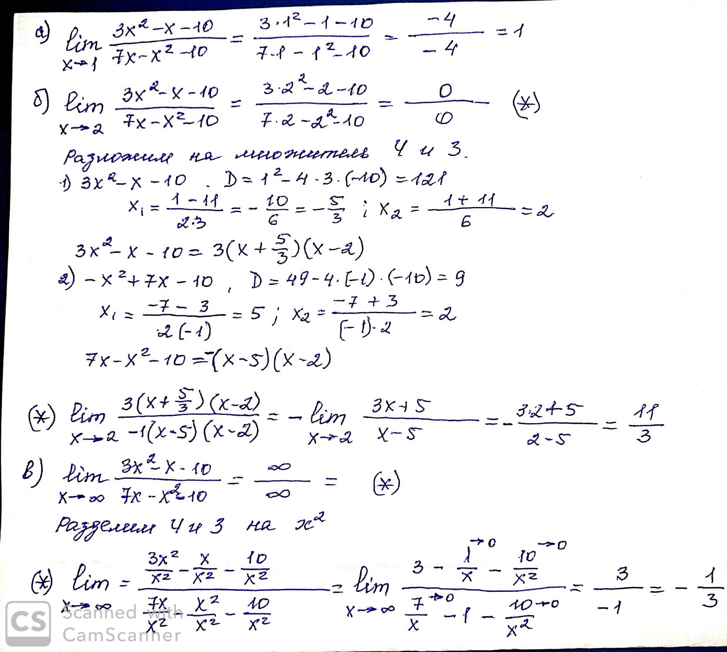
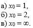
Ответ:
Пошаговое объяснение: решение в файле
Приложения:

Вас заинтересует
2 года назад
3 года назад
8 лет назад