• Предмет: Математика
  • Автор: L0sty
  • Вопрос задан 8 лет назад

Решите уравнение:
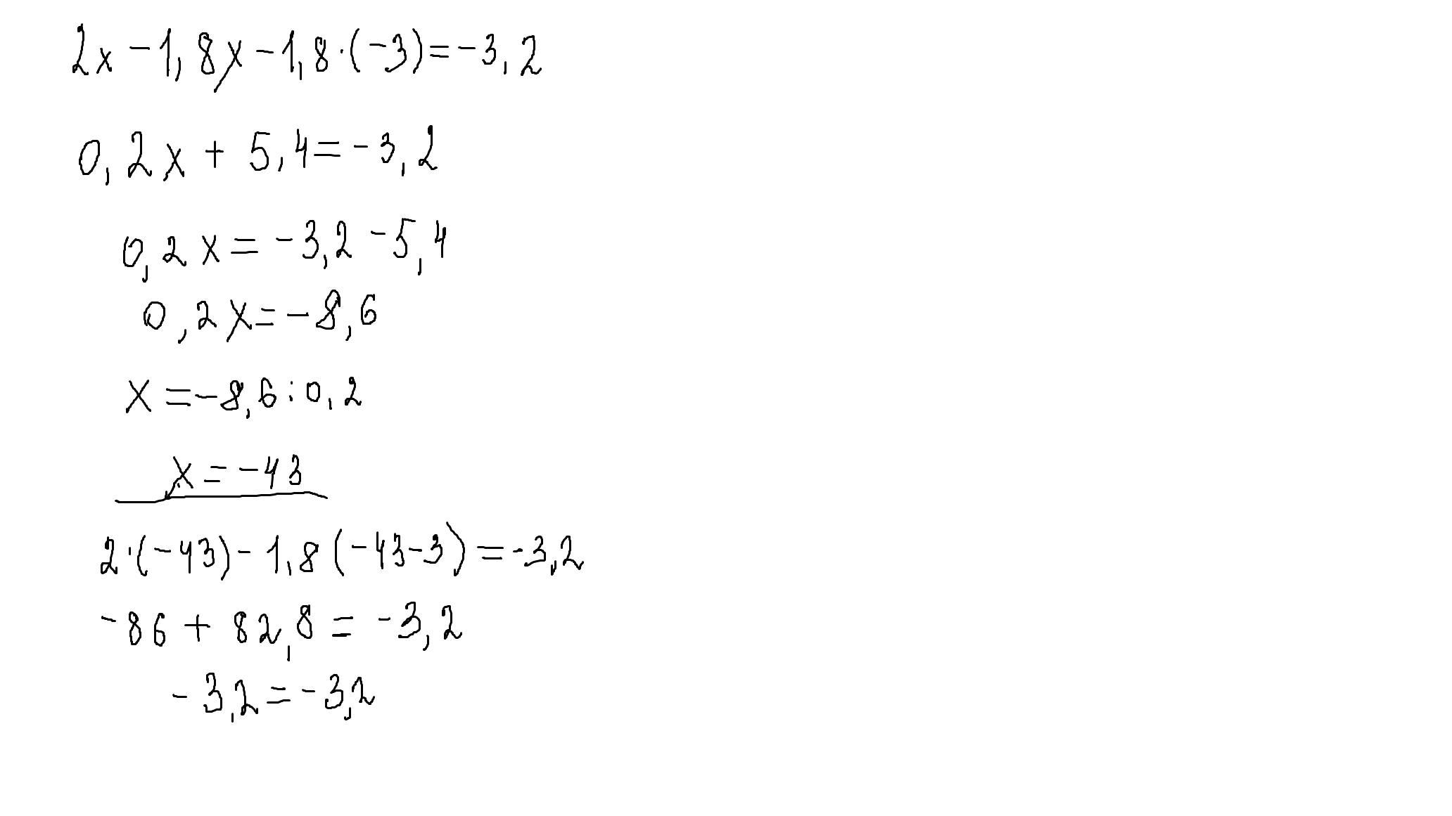
2x - 1,8 * (x - 3) = -3,2

Ответы

Ответ дал: smileanderson
0

2x - 1,8(x-3)=-3,2

2x - 1,8x + 5,4=-3,2

0,2x=-3,2-5,4

0,2x=-8,6

x=-43

_должно быть правильно

Ответ дал: parus77
0

Ответ:

Пошаговое объяснение:

Приложения:
Вас заинтересует