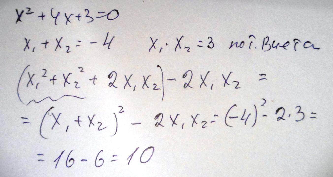
Найдите значение выражения х1 2 + х2 2, не решая уравнения, где х1 и х2 - корни уравнения х2 + 4х +3 =0.
Ответы
Ответ дал:
0
!!!!!!!!!!!!!!!!!!!!!!!!!!!!!!!!!!!!!!!
Приложения:

Ответ дал:
0
Огромное спасибо
Ответ дал:
0
пожалуйста!
Вас заинтересует
2 года назад
2 года назад
3 года назад
3 года назад
8 лет назад
8 лет назад