• Предмет: Математика
  • Автор: 89041203438
  • Вопрос задан 8 лет назад

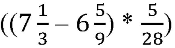
Решите по действиям,не в строчку

Приложения:

Ответы

Ответ дал: RamshaBFF
0

1)7  frac{1}{3}  - 6 frac{ 5}{9}  = frac{22}{3}  -   frac{59}{9}  =  frac{66 - 59}{9}  =  frac{5}{9} \  \  \ 2) frac{5}{9}  times  frac{5}{28}  =  frac{25}{252}

Незачто ❤(ӦvӦ。)

Ответ дал: 89041203438
0
При вычитании нельзя переводить в неправильную дробь
Ответ дал: RamshaBFF
0
ок хорошо без коментов плиз
Ответ дал: angelina1455
0
1) 7 целых 1/3- 6 целых 5/9=22/3-59/9=66-59=5/9
9
2)5/9*5*28=25/252
Вас заинтересует