• Предмет: Алгебра
  • Автор: Infinity95
  • Вопрос задан 8 лет назад

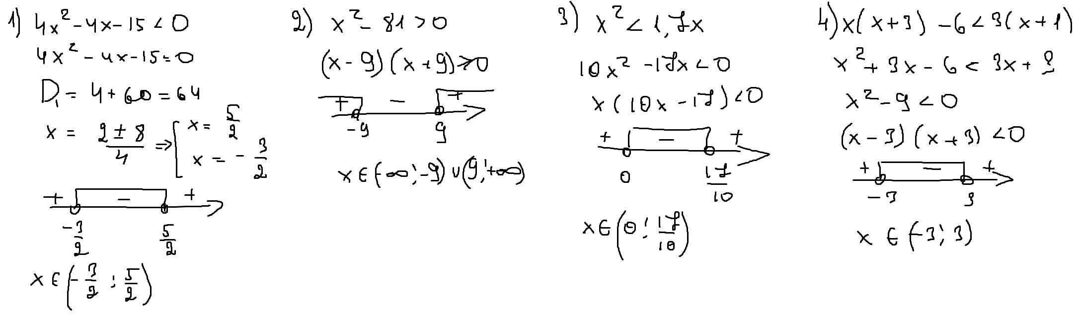
Решить методом интервалов

Приложения:

Ответы

Ответ дал: dimaogol2000
0

Ответ:

Объяснение:

.................................................

Приложения:
Вас заинтересует