• Предмет: Математика
  • Автор: Bronzor1
  • Вопрос задан 8 лет назад

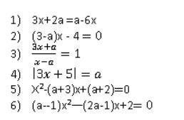
При всех значениях параметра а решить уравнения.

Приложения:

Ответы

Ответ дал: Carapace2004
0

Решение представлено на фото

Приложения:
Вас заинтересует