Ответы
Ответ дал:
0
Ответ:
261
Пошаговое объяснение:
10*5=50
4-8=-4
-4*9=-36
-36+7=-29
-3-6=-9
-29*-9=261
Надеюсь сделала правильно
Ответ дал:
0
-36+7=-29 ОШИБКА
Ответ дал:
0
надо 7*|-3-6|=7*|-9|=...
Ответ дал:
0
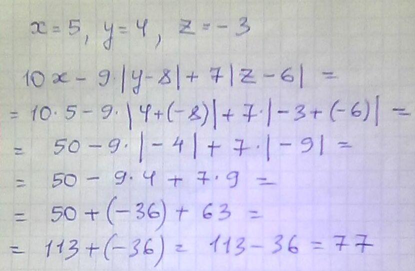
= решение = решение = решение = решение = решение =
Приложения:

Вас заинтересует
2 года назад
2 года назад
3 года назад
3 года назад
8 лет назад
8 лет назад
9 лет назад