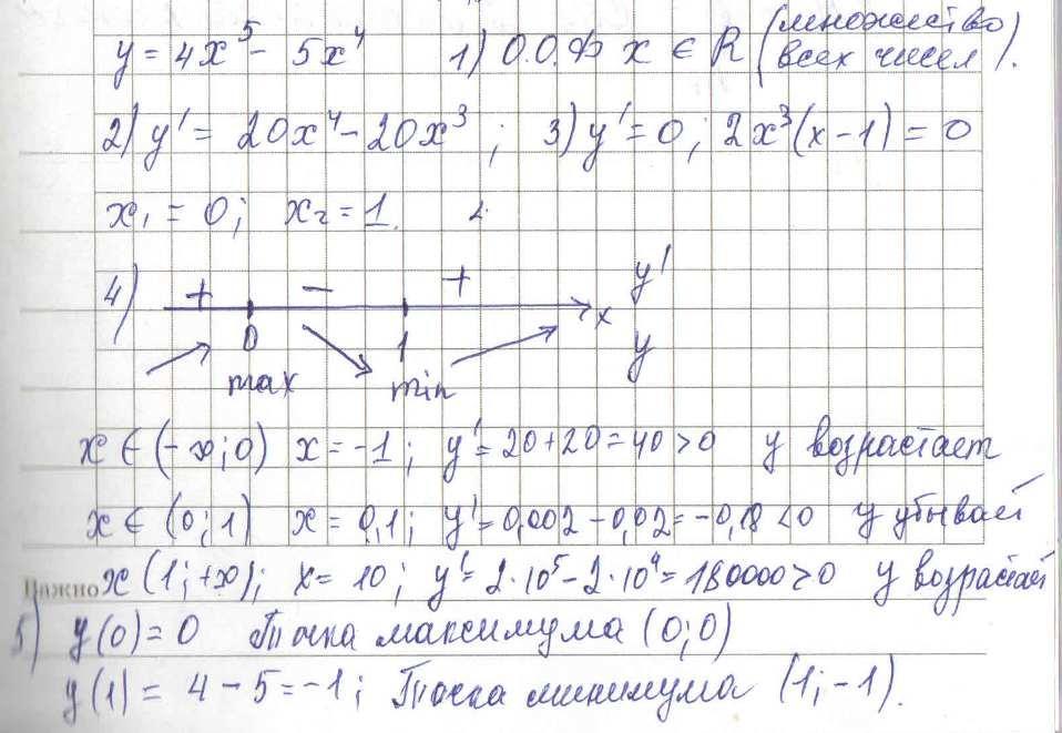
y=4x^5-5x^4
1. Область определения.
2. Производная.
3. Стационарные точки (f'(x)=0)
4. Промежутки возрастания и убывания.
5. Точки экстреума и значения функции в этих точках (•) ax
Ответы
Ответ дал:
0
Решение во вложении.
Приложения:

Вас заинтересует
2 года назад
2 года назад
3 года назад
8 лет назад
8 лет назад
9 лет назад
9 лет назад