Ответы
Ответ дал:
0
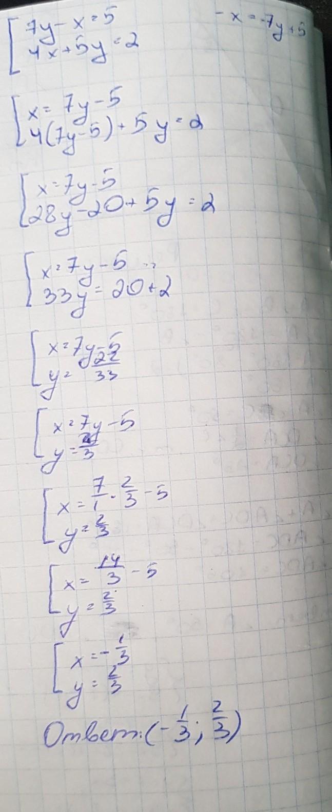
Примерно вот так, возможны вычислительные ошибки, но надеюсь, что их нет.
Приложения:


Вас заинтересует
2 года назад
2 года назад
3 года назад
3 года назад
8 лет назад
9 лет назад