• Предмет: Алгебра
  • Автор: sova4389
  • Вопрос задан 8 лет назад

решите плиз♡
срачно!!!!
...................

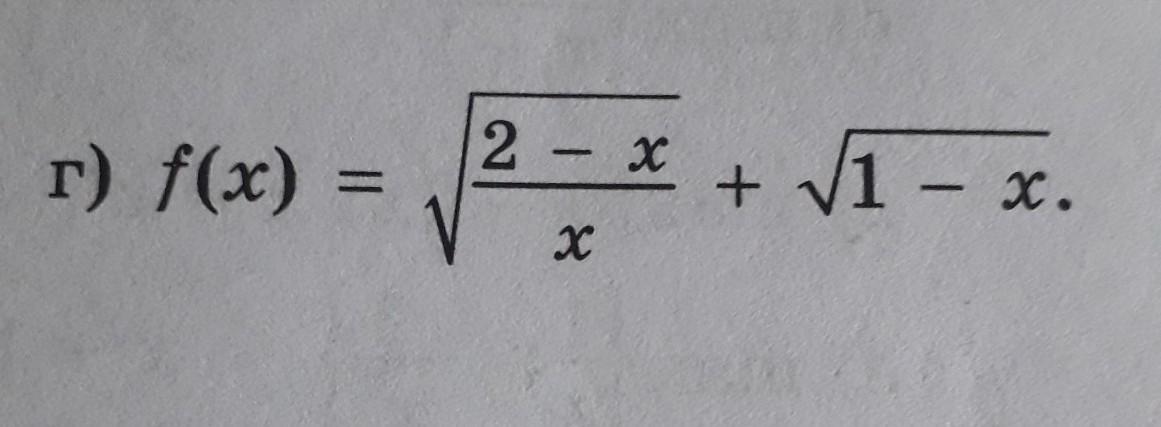
Приложения:

Ответы

Ответ дал: Evgenia4836
0

(2-x)/x≥0

1-x≥0

x∈(0;2]

x∈(-∞;1]

Ответ: x∈(0;1]

Вас заинтересует