• Предмет: Математика
  • Автор: vlad499999
  • Вопрос задан 8 лет назад

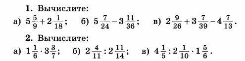
Помогите решить примеры с объяснением, пожалуйста.

Приложения:

Ответы

Ответ дал: alenababaeva20075
0

Ответ:я объясню первый пример, а дальше ты сам(а)

Ответ: 203

Пошаговое объяснение:

5 59 переводим в обыкновенную дробь (5*9+5), и тоже самое делаем с 2 118( 2*1+18). Получается 50/9 + 20/18. Теперь надо найти общий знаменатель. Это будет 18. Теперь мы должны 50*2=100.

10018 + 2018= 12018, и сокращаем до упора: 12018= 609= 203

Ответ дал: sofiya262007
0
И если ответ перевести дробь в число, то будет 6 2/3, верно?
Ответ дал: alenababaeva20075
0
да
Вас заинтересует