• Предмет: Математика
  • Автор: vikamishka
  • Вопрос задан 8 лет назад

СРОЧНО! 20 БАЛЛОВ!
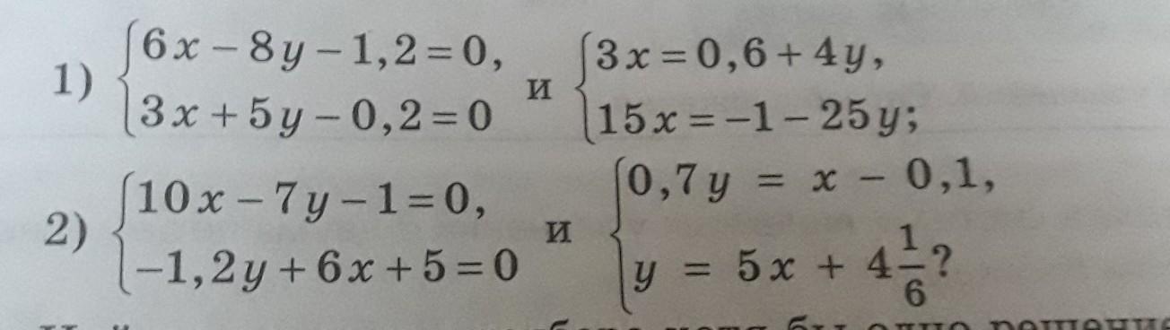
Равносильны ли системы:​

Приложения:

Ответы

Ответ дал: takushnir
0

Да равносильные, поскольку выполнены тождественные преобразования, которые сохраняют решения систем без изменения. А  именно перенос из одной части уравнения в другую, деление на одно и то же число левой и правой частей.

Ответ дал: vikamishka
0
а решение?)
Ответ дал: takushnir
0
Решение не просили. Нужно было установить, равносильны ли системы. Я ответил на ваш вопрос. Равносильны. Не было в условии задания - решить системы.
Ответ дал: vikamishka
0
аа понятно, спасибо БОЛЬШОЕ
Вас заинтересует