• Предмет: Математика
  • Автор: nastjakar
  • Вопрос задан 8 лет назад

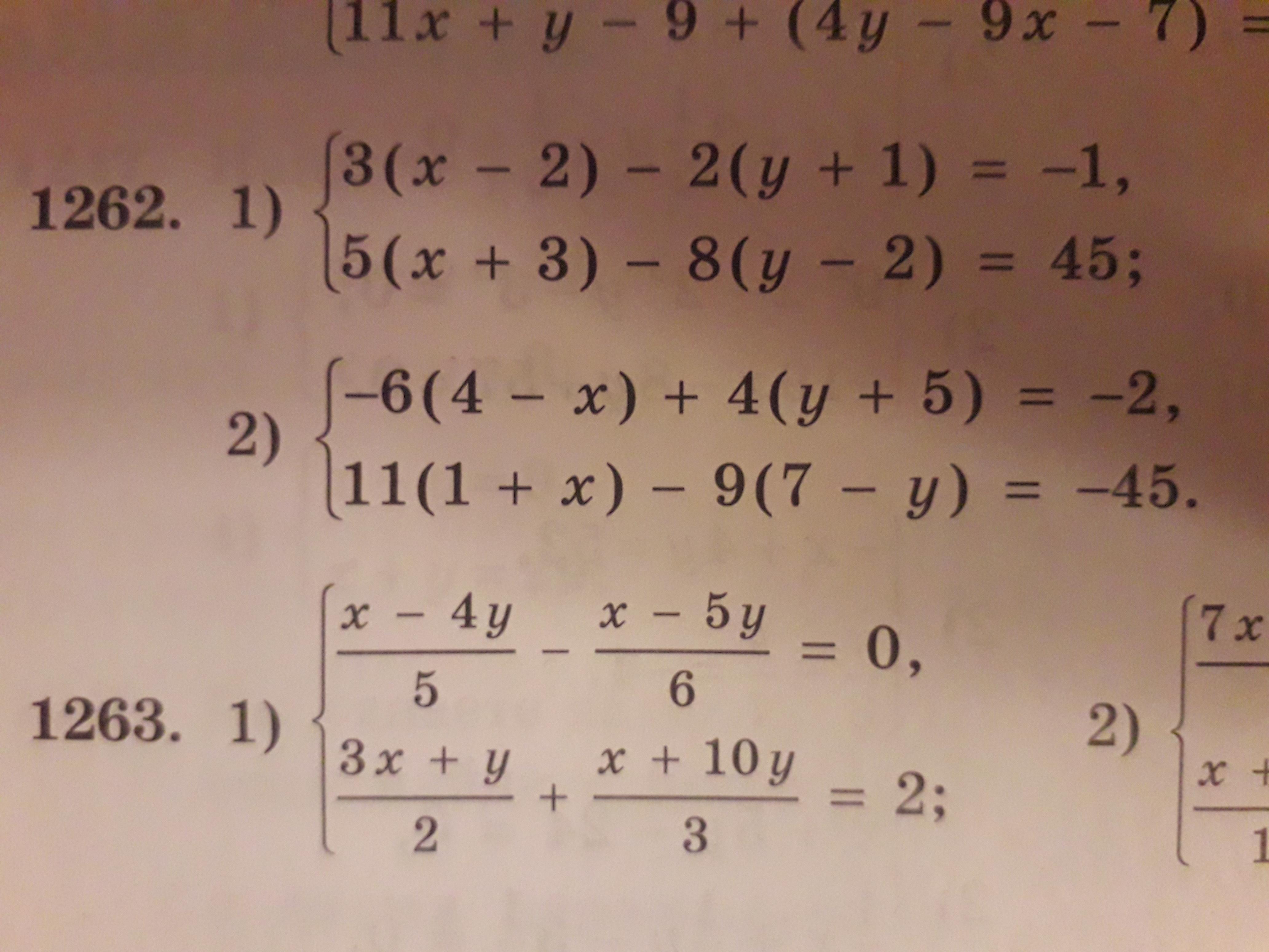
Найдите решение систем уравнений. Пожалуйста помогите 2)

Приложения:

Ответы

Ответ дал: Prrrofesor
0

Страшненько отправлять что-то.:")

Приложения:
Вас заинтересует