• Предмет: Алгебра
  • Автор: Саша98755
  • Вопрос задан 8 лет назад

С решением пожалуйста

Приложения:

Ответы

Ответ дал: Nelia2019
0

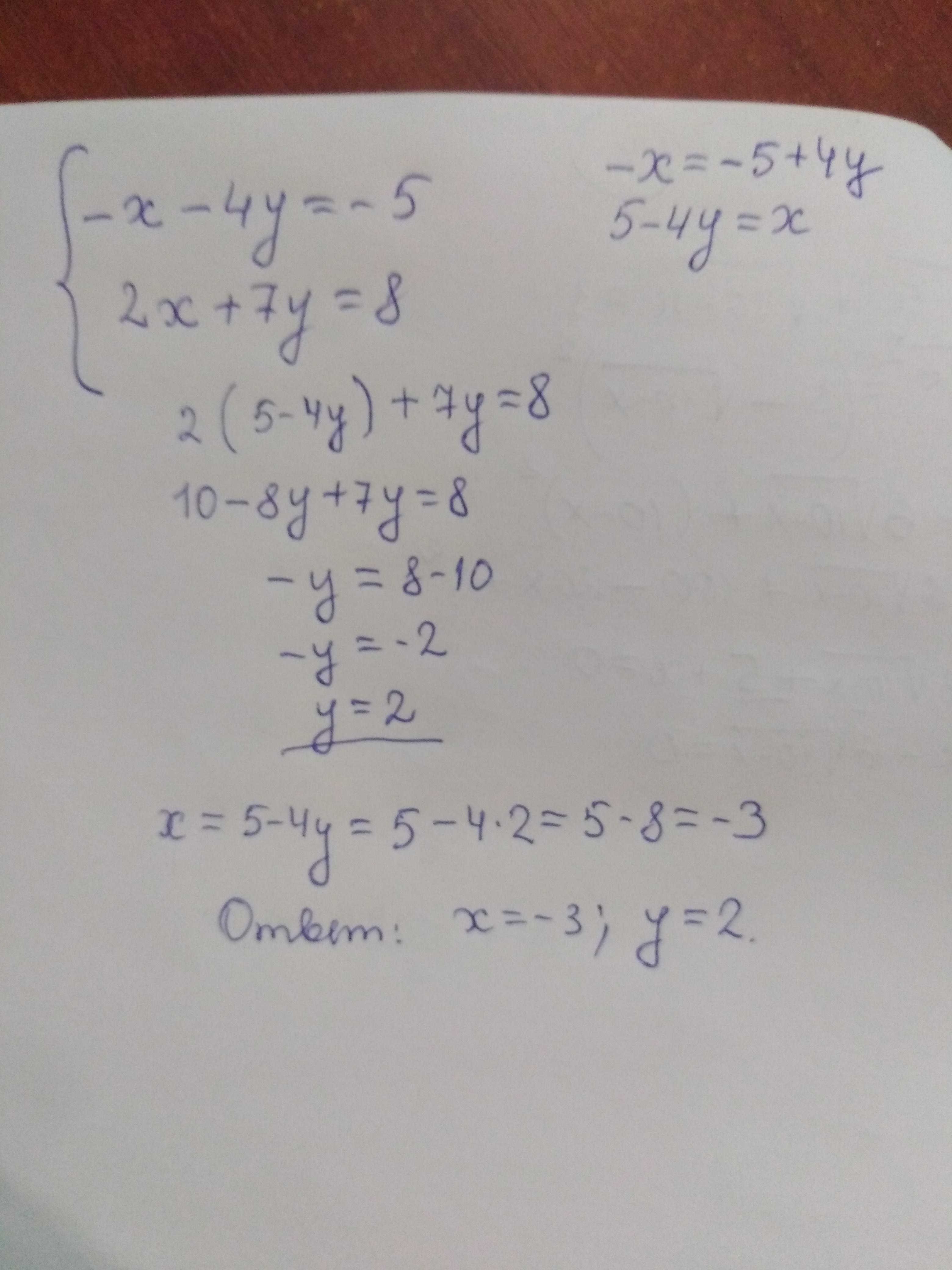
Ответ: (-3; 2)

Из первого уравнения выводим чему равен х и подставляем значение во второе уравнение

Приложения:
Ответ дал: Universalka
0

left { {{-x-4y=-5}|*2 atop {2x+7y=8}} right\\+left { {{-2x-8y=-10} atop {2x+7y=8}} right.\---------\-y= -2\y=2\x=5-4y=5-4*2=5-8=-3

Ответ : (- 3 ; 2)

Приложения:
Вас заинтересует