Помогите пожалуйста решить задания по матиматике по теме Интеграл и его приминения!
Приложения:

Ответы
Ответ дал:
0
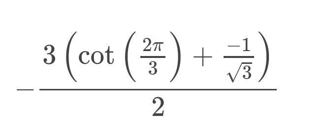
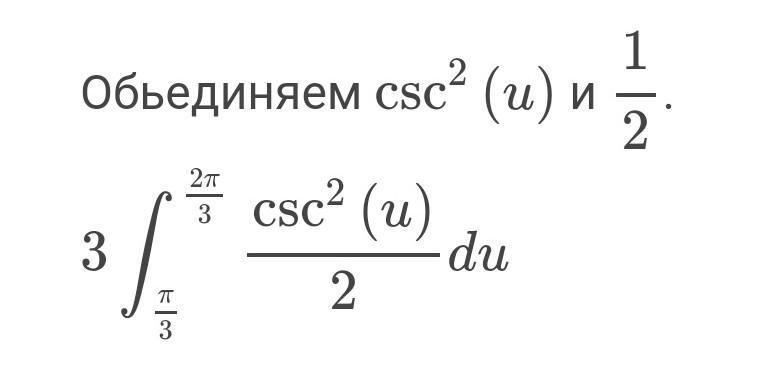
Вот ответ если нужно я нопешу полное решение
Приложения:





Ответ дал:
0
скачивай mathway там сфоткай и он скажет что и как сделать по очереди
Ответ дал:
0
Их там много)
Ответ дал:
0
ооооо
Ответ дал:
0
прости братан я не могу сейчас тебе помочь сори
Ответ дал:
0
:(
Вас заинтересует
2 года назад
2 года назад
3 года назад
3 года назад
8 лет назад
8 лет назад
9 лет назад
9 лет назад