СДЕЛАЙТЕ ВСЕ СДЕЛАЙТЕ ВСЕ СДЕЛАЙТЕ ВСЕ СДЕЛАЙТЕ ВСЕ СДЕЛАЙТЕ ВСЕ СДЕЛАЙТЕ ВСЕ СДЕЛАЙТЕ ВСЕ СДЕЛАЙТЕ ВСЕ СДЕЛАЙТЕ ВСЕ СДЕЛАЙТЕ ВСЕ СДЕЛАЙТЕ ВСЕ СДЕЛАЙТЕ ВСЕ СДЕЛАЙТЕ ВСЕ СДЕЛАЙТЕ ВСЕ СДЕЛАЙТЕ ВСЕ СДЕЛАЙТЕ ВСЕ СДЕЛАЙТЕ ВСЕ СДЕЛАЙТЕ ВСЕ СДЕЛАЙТЕ ВСЕ СДЕЛАЙТЕ ВСЕ!!!!!!
Приложения:

Ответы
Ответ дал:
0
Ответ:
Пошаговое объяснение:
Подставляем значения всех возможных выражений в уравнения.
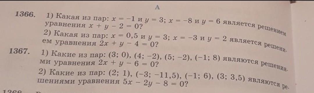
1366:
1)x+y-2=0
a) (-1;3)
-1+3-2=-3+3=0
б) (-8;6)
-8+6-2=-10+6=-4
Не подходит.
Ответ (-1;3)
2)2x+y-4=0
a) (0,5;3)
2*0,5+3-4=4-4=0
б) (-3;2)
2*(-3)+2-4=-10+2=-8
Не подходит.
Ответ: (0,5;3)
1367
1)2x+y-6=0
a) (3;0)
6-6=0
б) (4;-2)
8-2-6=0
в) (5;-2)
10-2-6=2
Не подходит.
г) (-1;8)
-2+8-6=0
Ответ: (3;0), (4;-2), (-1;8)
2)5x-2y-8=0
а) (2;1)
10-2-8=0
б) (-3;-11,5)
-15+11,5-8=-11,5
Не подходит.
в) (-1;6)
-5-12-8=-25
Не подходит.
г) (3;3,5)
15-7-8=0
Ответ: (2;1), (3;3,5)
Ответ дал:
0
спасибо
Ответ дал:
0
а зачем ты напесал в и г
Ответ дал:
0
Чтобы текст не был сплошным. Читать с экрана неудобно.
Ответ дал:
0
тогда мне это писать
Ответ дал:
0
спасибо тебе
Вас заинтересует
2 года назад
3 года назад
3 года назад
8 лет назад
8 лет назад
9 лет назад