• Предмет: Алгебра
  • Автор: ЛСО
  • Вопрос задан 8 лет назад

Поиогитееееееееееееееееее!!!!! Пожалуйстаааааааа

Приложения:

Ответы

Ответ дал: belka7247
0

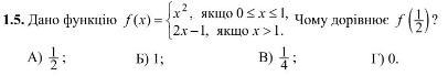
в) 1/4, т.к. 1/2<0 и 1/2<1

f(1/2)=(1/2)^2=1/4

Ответ дал: ЛСО
0
Thank you very much)
Вас заинтересует