• Предмет: Химия
  • Автор: zac00
  • Вопрос задан 8 лет назад

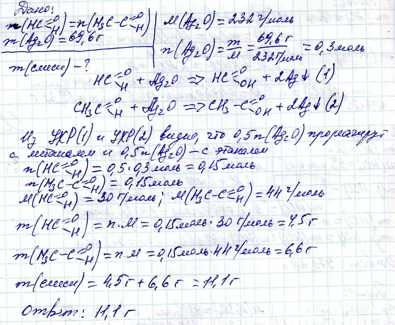
Эквимолярная смесь метаналя и этаналя полностью реагирует с 69.6 г оксида серебра ( в аммиачном растворе). Вычислите массу этой смеси.

Ответы

Ответ дал: mrvladimir2
0

Ответ: 11.1 г

Объяснение:

см. в приложении

Приложения:
Вас заинтересует