Ответы
Ответ дал:
0
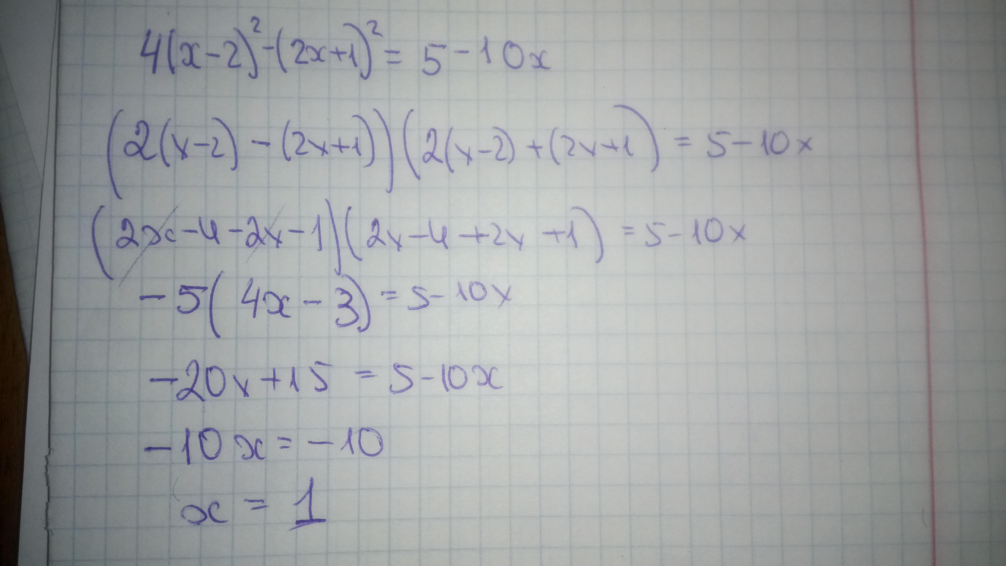
Відповідь: 1
Пояснення: фото
Приложения:

Ответ дал:
0
Ответ:4(x-2)2-(2x+1)×5-10x
8(x-2)-(10x+5)-10x
8x-16-10x-5-10x ОТВЕТ:-12x-21
Приложения:

Вас заинтересует
2 года назад
2 года назад
3 года назад
3 года назад
8 лет назад
8 лет назад
9 лет назад
9 лет назад