• Предмет: Математика
  • Автор: elena5052129
  • Вопрос задан 8 лет назад

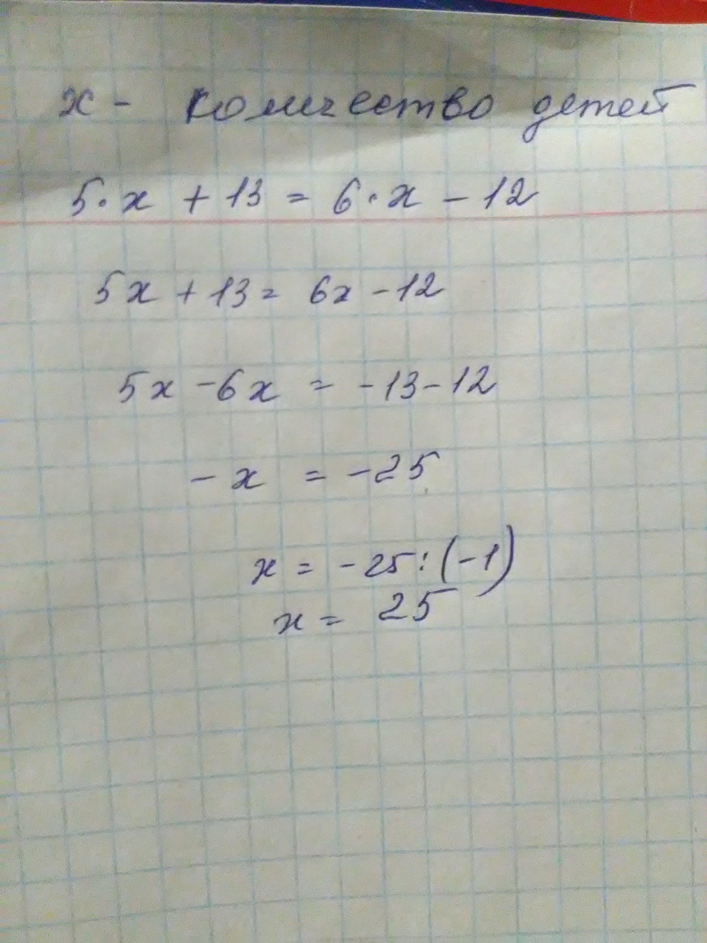
Если дед мороз раздаст по 5 конфет у него останется 13 а если по 6 конфет 12 не хватит. Сколько было детей.

Ответы

Ответ дал: ArinaPa75
0

Ответ: 25 детей

Пошаговое объяснение:

Приложения:
Ответ дал: iosiffinikov
0

Ответ:

25

Пошаговое объяснение:

Пусть количество детей х.

Из первого условия количество конфет  5х+13

Из второго  6х-12.

Приравнивая, получаем уравнение.

5*х+13=6*х-12  (количество конфет)

Решаем:

(6-5)*х=13+12

х=25  

Ответ : 25 детей.

Приложения:
Вас заинтересует