• Предмет: Алгебра
  • Автор: bioloh
  • Вопрос задан 8 лет назад

Докажите тригонометрические тождества (b ):

Приложения:

Ответы

Ответ дал: Correlation
0

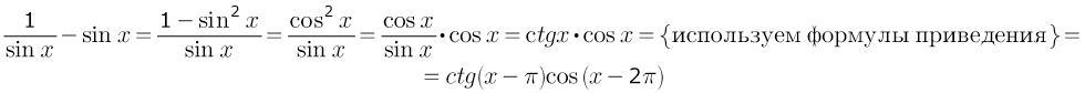
Ответ: фото.

Объяснение:

Приложения:
Вас заинтересует