• Предмет: Математика
  • Автор: ubermosh92
  • Вопрос задан 8 лет назад

Пожалуйста объясните как решается данное уравнение.

Приложения:

Ответы

Ответ дал: millka000054
0

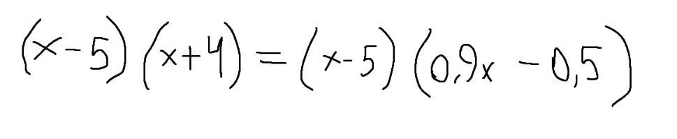
( х - 5 ) ( х + 4 ) = ( х - 5 ) ( 0,9х - 0,5 )

Каждый член одной скобки умножаем на другие члены во второй скобке :

х² + 4х - 5х - 20 = 0,9х² - 0,5х - 4,5х + 2,5

Иксы ( х ) переносим в одну сторону, а числа в другую :

х² + 4х - 5х - 0,9х² + 0,5х + 4,5х = 2,5 + 20

0,1х² + 4х = 22,5

0,1х² + 4х - 22,5 = 0.

Решаем дискриминантом :

D = 16 - 4 × 0,1 × (-22,5) = 25 > 0. 5.

х1 = (-4 + 5) / 0,2 = 1/0,2 = 5.

х2 = (-4 - 5) / 0,2 = -9/0,2 = 45.

Ответ : 5 ; 45.

_______________________________

Удачи))))

Ответ дал: ubermosh92
0
Спасибо большое!
Ответ дал: millka000054
0
Не за что)
Ответ дал: miki68
0

Ответ:

х₁=-45

х₂=5

Пошаговое объяснение:

х²+4х-5х-20=0,9х²-0,5х-4,5х+2,5

0,1х²+4х-22,5=0

D=16+9=25=5²

х₁=-45

х₂=5

Вас заинтересует