• Предмет: Алгебра
  • Автор: anastasyapetruxina
  • Вопрос задан 8 лет назад

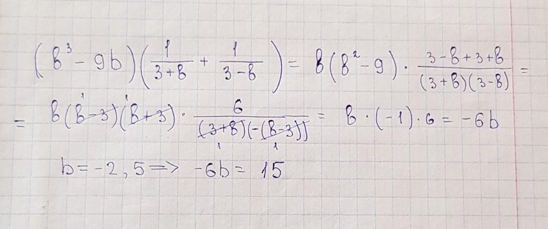
Найдите значение выражения на фото, пожалуйста. Заранее спасибо.

Приложения:

Ответы

Ответ дал: marisichka
0

Ответ приложен к фотографии.

Приложения:
Вас заинтересует