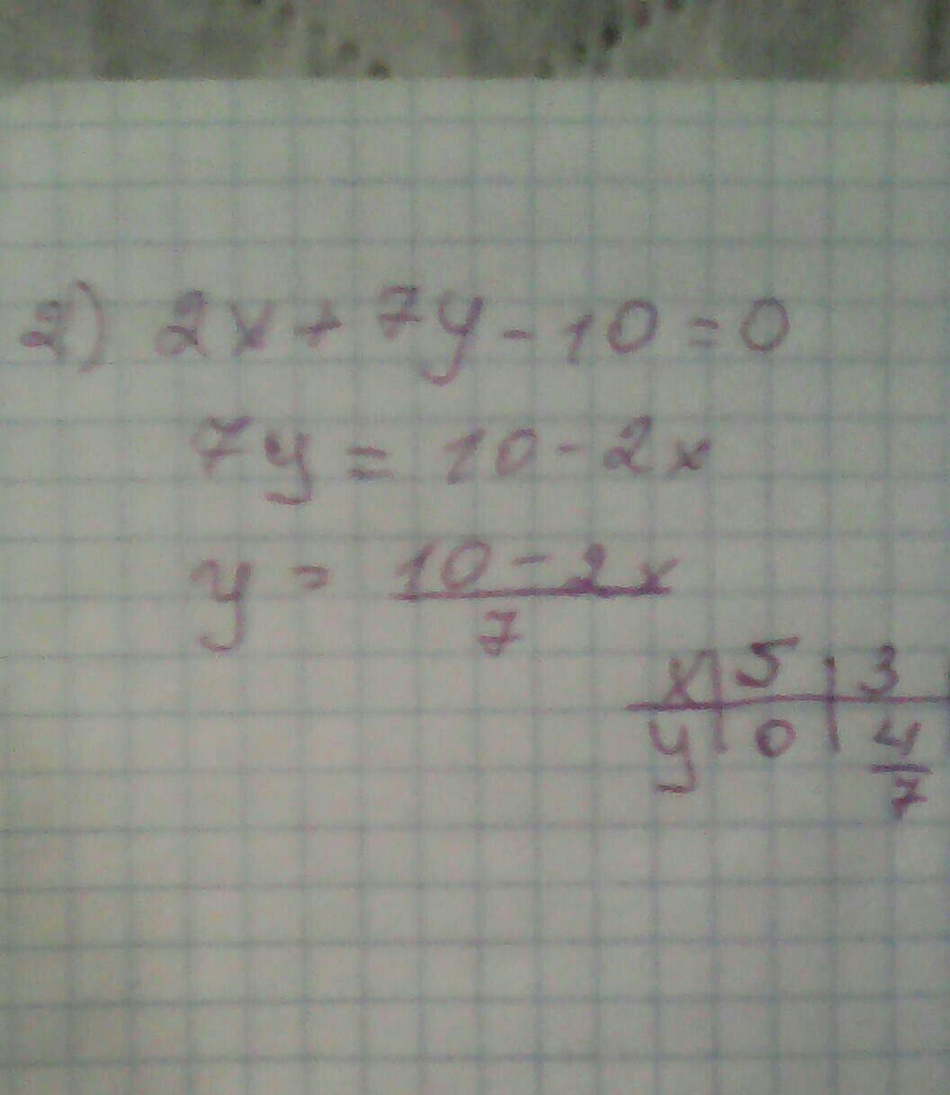
Выразив переменную х через переменную у, найдите два каких либо решения уравнения: помогите пожалуйста!!
Ответы
Ответ дал:
0
Все,все сделала.......................
Приложения:



Ответ дал:
0
всё
Ответ дал:
0
я добавила
Ответ дал:
0
вопрос
Ответ дал:
0
помоги пожалуйста мне с математикой
Ответ дал:
0
Говори вопрос
Вас заинтересует
2 года назад
3 года назад
3 года назад
8 лет назад
9 лет назад