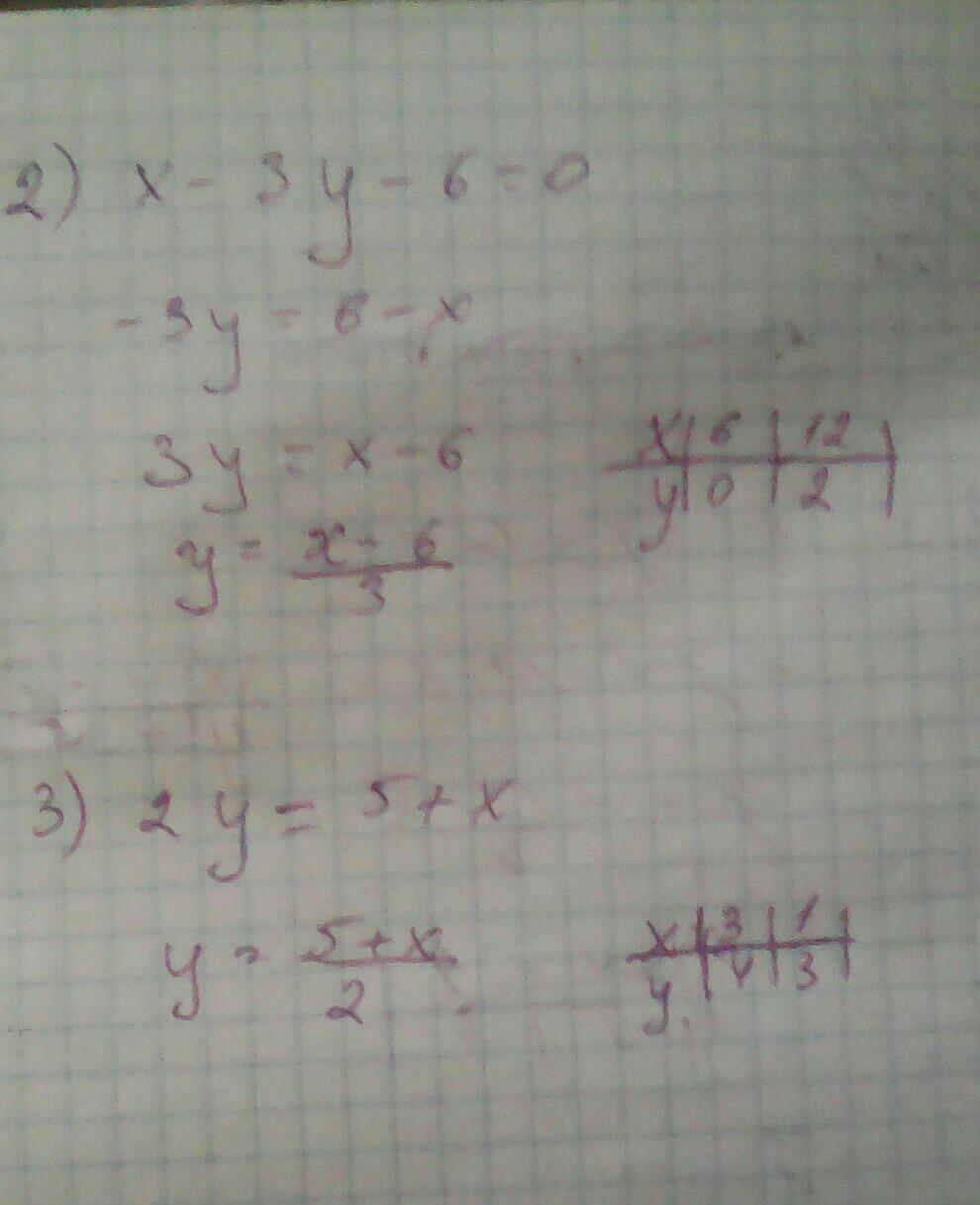
ПОМОГИТЕ ПЛИИЗЗ!!!! Выразив переменную y через переменную x, найдите два каких либо решения уравнения : 1) х+4у+12=0. 2) х-3у-6=0 3)-х+2у-5=0
Ответы
Ответ дал:
0
Все!!!!!!!!!!!!!!!!!!!Готово)))))))
Приложения:


Ответ дал:
0
1)у=-1/4х-3 решения
х=4, у=-4
х=-4 , у=-2
2)у=1/3х-2 решения
х=3, у=-1
х=6, у=0
3)у=1/2х+2.5 решения
х=2, у=3,5
х=4, у=4,5
Приложения:


Вас заинтересует
2 года назад
3 года назад
3 года назад
8 лет назад
8 лет назад
9 лет назад