• Предмет: Математика
  • Автор: dilyaqoroleva
  • Вопрос задан 8 лет назад

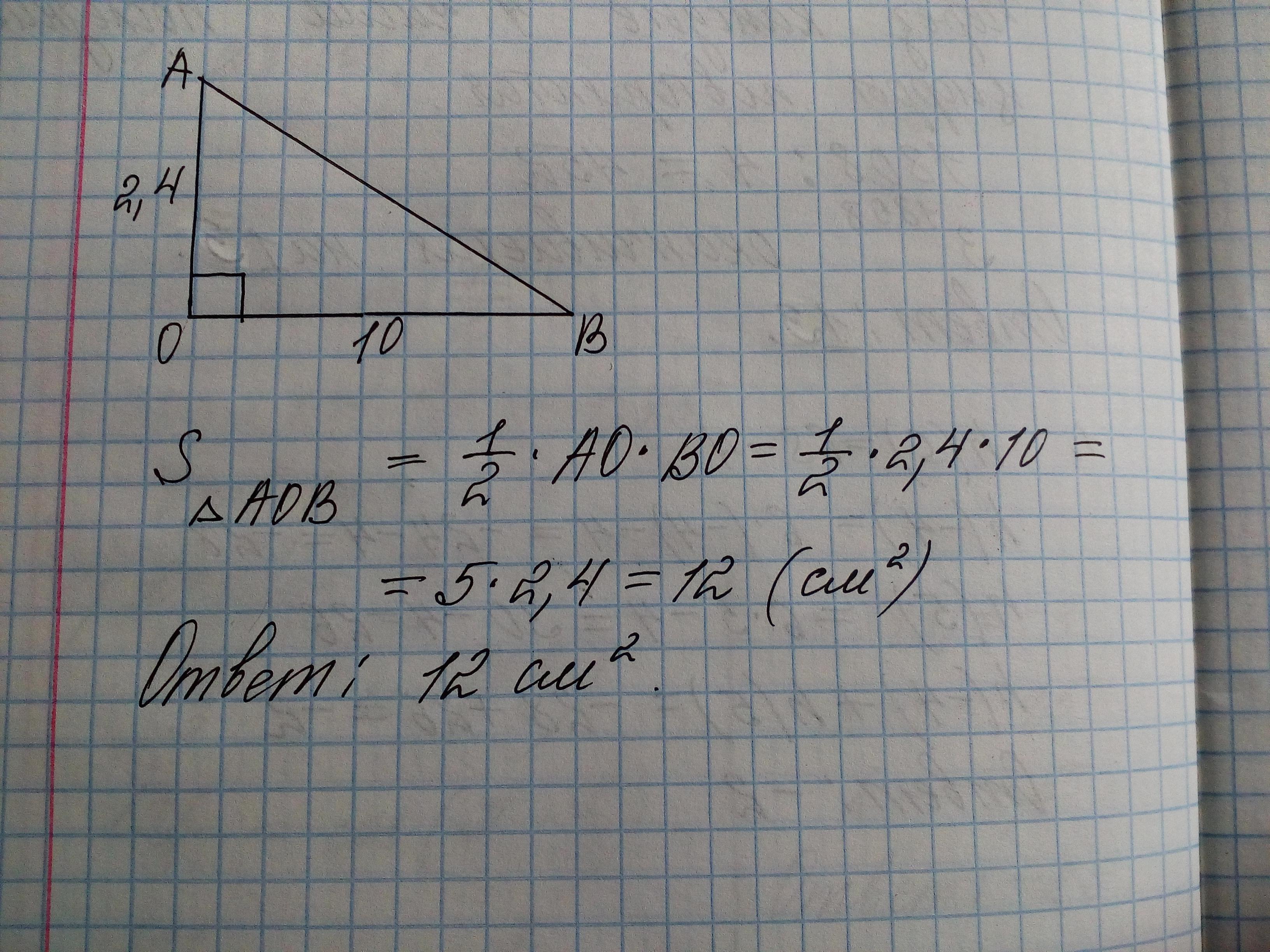
треугольнике АОВ угол О прямой . найдите площадь треугольника если АО=2,4см и ВО=10см.​

Ответы

Ответ дал: m11m
0

Ответ:

Пошаговое объяснение:

!!!!!!!!!!!!!!!!!!!!!!!!!!!!!!!!

Приложения:
Ответ дал: binamaksimchuk
0

S=1/2ab=1/2*2,4*10=12см²

Приложения:
Вас заинтересует