• Предмет: Алгебра
  • Автор: ellina12
  • Вопрос задан 8 лет назад

(2-х)^2-х(х+1,5)=4 решить уравнение

Ответы

Ответ дал: Аноним
0

Ответ:

Пошаговое объяснение:

Удачи))

Приложения:
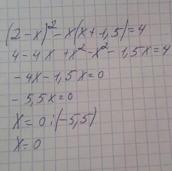
Ответ дал: Golovolomka2222
0

(2 - x {)}^{2}  - x(x + 1.5) = 4 \ 4 -4x  +  {x}^{2}  -  {x}^{2}  - 1.5x = 4 \  - 4x  - 1.5x = 0 \  - 5.5x = 0 \ x = 0

Приложения:
Вас заинтересует