• Предмет: Математика
  • Автор: anatolijgusev0
  • Вопрос задан 8 лет назад

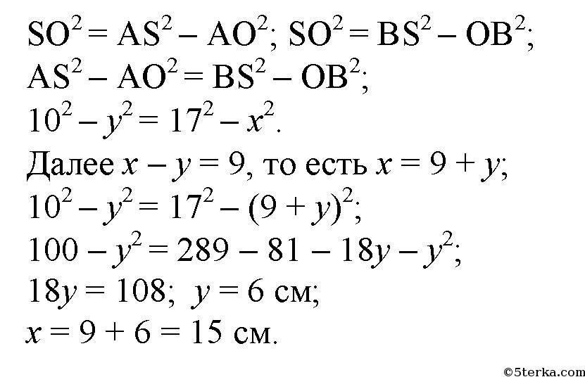
Из точки к плоскости проведены две наклонные, равны 10 см и 17 см. разность проекций этих наклонных равна 9 см. найти проекции этих наклонных на плоскость.

Ответы

Ответ дал: zheniagaripoff
0

Ответ:

Пусть SA и SB - данные диагонали. Обозначим проекции АО = у, ОВ = х, х > у, так как SB > SA. Пусть SO — перпендикуляр к плоскости α. Тогда из двух прямоугольных треугольников AOS и BOS получаем:

Пошаговое объяснение:

Приложения:
Вас заинтересует