Ответы
Ответ дал:
0
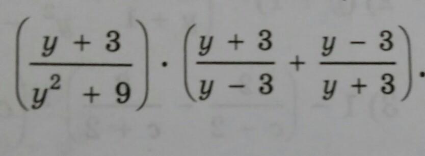
Ответ: сори если качество плохое
Объяснение:
Приложения:

Ответ дал:
0
Не чего
Вас заинтересует
2 года назад
3 года назад
3 года назад
8 лет назад
8 лет назад
9 лет назад
9 лет назад