• Предмет: Математика
  • Автор: vladver92
  • Вопрос задан 8 лет назад

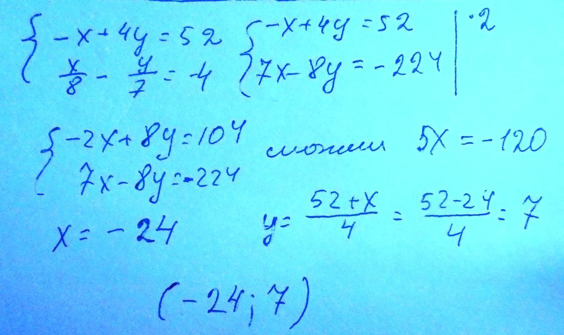
Найдите решение систем уравнений или докажите, что системы не имеют решений
помогите пожалуйста ​

Приложения:

Ответы

Ответ дал: miron2077
0

вторую систему не видно полностью

Приложения:
Вас заинтересует